반응형
SMALL
문제
A path in a binary tree is a sequence of nodes where each pair of adjacent nodes in the sequence has an edge connecting them. A node can only appear in the sequence at most once. Note that the path does not need to pass through the root.
The path sum of a path is the sum of the node's values in the path.
Given the root of a binary tree, return the maximum path sum of any non-empty path.
Example 1:

Input: root = [1,2,3]
Output: 6
Explanation: The optimal path is 2 -> 1 -> 3 with a path sum of 2 + 1 + 3 = 6.
Example 2:

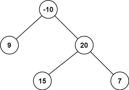
Input: root = [-10,9,20,null,null,15,7]
Output: 42
Explanation: The optimal path is 15 -> 20 -> 7 with a path sum of 15 + 20 + 7 = 42.
Constraints:
- The number of nodes in the tree is in the range [1, 3 * 104].
- -1000 <= Node.val <= 1000
문제풀이
- 전체 합 혹은 계산 => DFS로 풀기
- left, right가 있는 그 path들의 모든 합 중 => 가장 적절한 path
코드
// DFS
var maxPathSum = function(root) {
let maxVal = -Infinity
const traverse = (root) => {
if (!root) return 0
const left = traverse(root.left)
const right = traverse(root.right)
maxVal = Math.max(left + right + root.val, maxVal)
return Math.max(left + root.val, right + root.val,0)
}
traverse(root)
return maxVal;
};반응형
LIST
'Coding Interview' 카테고리의 다른 글
| [LeetCode] DFS - 230. Kth Smallest Element in a BST (0) | 2022.09.26 |
|---|---|
| [LeetCode] BFS 269. Alien Dictionary (1) | 2022.09.26 |
| [LeetCode] BFS-DFS 207. Course Schedule (feat. 위상정렬(Topological Sort)) (1) | 2022.09.25 |
| [LeetCode] DFS-BFS 329. Longest Increasing Path in a Matrix (1) | 2022.09.25 |
| [LeetCode] DFS-BFS 314. Binary Tree Vertical Order Traversal (0) | 2022.09.24 |