반응형
SMALL
문제
Given the root of a binary tree, check whether it is a mirror of itself (i.e., symmetric around its center).
Example 1:

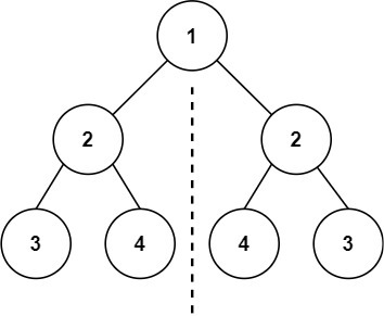
Input: root = [1,2,2,3,4,4,3]
Output: true
Example 2:

Input: root = [1,2,2,null,3,null,3]
Output: false
Constraints:
- The number of nodes in the tree is in the range [1, 1000].
- -100 <= Node.val <= 100
코드
var isSymmetric = function(root) {
function dfs(leftRoot, rightRoot) {
if(!leftRoot && !rightRoot) return true;
if(!leftRoot || !rightRoot || leftRoot.val !== rightRoot.val) return false;
// 양 바깥 쪽
const left = dfs(leftRoot.left, rightRoot.right);
// 안쪽
const right = dfs(leftRoot.right, rightRoot.left);
return left && right;
}
return dfs(root.left, root.right);
}반응형
LIST
'Coding Interview' 카테고리의 다른 글
| [LeetCode] BFS-DFS 104. Maximum Depth of Binary Tree (0) | 2022.09.27 |
|---|---|
| [LeetCode] BFS 210. Course Schedule II (feat. 위상정렬) (0) | 2022.09.26 |
| [LeetCode] DFS 98. Validate Binary Search Tree (0) | 2022.09.26 |
| [LeetCode] DFS - 230. Kth Smallest Element in a BST (0) | 2022.09.26 |
| [LeetCode] BFS 269. Alien Dictionary (1) | 2022.09.26 |